Metode Intrinsic Information Content (IIC) adalah metode yang digunakan untuk mengenali dan menghitung data informasi yang terdapat pada pasangan kata. Pasangan kata ini juga dapat di ambil dari sebuah rangkaian kalimat atau paragraf.
Intrinsic Inforamation merupakan bagian yang tersembunyi dari sebuah pasangan kata baik itu kata yang terkait maupun kata yang mempunya makana sama persis atau sinonim. Pada implementasinya metode ini sering digunakan untuk sebuah konsep penelitian Natural Language Processing (NLP). Sebuah pemrosesan tingkat tinggi menggunakan konsep penalaran manusia.
Contoh sederhananya kita ingin mengetahui sebuah makna yang terkait dengan pasangan kata antara kata “mobil” dan “bensin”. Meskinpun kata tersebut berbeda dan juga bukan sinonim namun antar kedua kata tersebut masih memiliki keterkaitan.
Model-model Penyelesaian dalam Metode Intrinsic Information Content (IIC)
Rumus dasar untuk semua model
1.Resnik
Model Resnik adalah sebuah pengukuran kesamaan semantik yang sederhana menggunakan metode informasi konten. Formula kesamaan semantik antar 2 synset adalah,
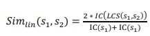
2.Lin
Model Lin merupakan pengukuran kesamaan semantik yang bertujuan untuk mengatasi kesamaan antar 2 konsep, dan juga perbedaannya, yang keduanya diukur dalam term IC. Nilai kesamaan maksimum dicapai ketika kedua konsep identik. Pengukuran kesamaan tersebut dapat kita lihat dengan persamaan atau rumus bi bawah ini:
3.Jiang dan conrath
Model Jiang dan Concrath merupakan metode yang menggabungkan struktur taksonomi leksikal dengan informasi statistik corpus sehingga jarak semantik antara node di ruang semantik yang dibangun oleh taksonomi dapat lebih baik diukur dengan bukti komputasi berasal dari analisis distribusi data korpus. Rumusnya sebagai berikut;
4.Seco, Veale, dan Hayes
Model Seco, Veale, dan Hayes adalah merupakan metode pengukuran dengan menggunakan konsep tolak ukur alternatif dari IC yang disebut “IC Intrinsik”, yang dikalkulasi semata-mata hanya berdasarkan
taksonomi. Pada formula ini, penggunaan korpus dihilangkan. Sebuah konsep yang memiliki lebih banyak hiponim mengekspresikan informasi yang lebih sedikit daripada konsep yang yang memiliki lebih sedikit hiponim. Rumusnya;
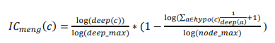
5.Meng
Model Meng adalah Sebuah konsep yang memiliki lebih banyak hiponim memiliki nilai IC
yang lebih sedikit daripada sebuah konsep yang memiliki lebih sedikit hiponim. Semakin dalam suatu konssep pada suatu taksonomi, semakin besar nilai IC pada konsep tersebut.
Data yang digunakan Metode Intrinsic Information Content (IIC)
Untuk data yang bisa digunakan sebagai data set misalnya simlex-999 dan juga wordsim.
1.Simlex
SimLex-999 adalah sebuah sebuah data set yang bisa digunakan untuk mengevaluasi suatu model yang mempelajari makna suatu kata dan konsep. SimLex-999 lebih dikhususkan untuk dataset yang menguji nilai kesamaan semantik daripada keterkaitan semantik atau asosiasi.
2.Wordsim
WordSim-353 adalah dataset yang digunakan sebagai pengujian untuk mengukur nilai kesamaan atau keterkaitan antar kata. Data yang terdapat pada wordsim tersebut berupa pasangan kata bahasa inggris yang terdiri dari beberapa kata benda.
Hal-hal yang terkait dengan metode ini
1. Semantic Similarity
Perhitungan semantic similarity adalah merupakan proses yang memerlukan keterlibatan
beberapa disiplin ilmu, seperti bahasa, komputer, matematika logik dan domain yang bersangkutan.
2.WordNet
WordNet adalah database kata yang dapat digunakan untuk mengecek kata serta persamaan kata atau kata yang terkait pada sebuah database network semantik untuk bahasa Inggris yang dikembangkan
di Princenton University (http://wordnet.princeton.edu/). Beberapa versi dalam bahasa lain juga telah dikembangkan seperti EuroNet.
3. Latent Semantic
Latent Semantic Analysis (LSA) adalah sebuah teori dan metode untuk mengekstrak dan merepresentasikan konteks yang digunakan sebagai sebuah arti kata dengan memanfaatkan
komputasi statistik untuk sejumlah corpus yang besar dari teks.
Untuk jasa pembuatan dengan aplikasi ini kami siap membantu Anda. Pemrograman di buat menggunakan bahasa pemrograman berbasis web php dan juga menggunakan database mysql Untuk info lebih lanjut silahkan kontak kami langsung pada kontak yang ada pada bagian bawah web ini.



